027-88411411
CN /
EN
首页
ELISA试剂盒
一步法ELISA试剂盒
三步法ELISA试剂盒
竞争法ELISA试剂盒
抗体
单克隆抗体
二抗
标签和内参抗体
技术服务
文献引用
抗体定制服务
ELISA试剂盒定制服务
ELISA和生化检测服务
实验指南
关于我们
公司简介
公司新闻
行业动态
质量保障
联系我们
One-Step ELISA kit
ELISA试剂盒
一步法ELISA试剂盒
三步法ELISA试剂盒
竞争法ELISA试剂盒
抗体
单克隆抗体
二抗
标签和内参抗体
其他试剂
联系我们
电话咨询:
027-88411411
18986183467
联系邮箱:
jiyinmei027@163.com
当前位置:
首页
>
ELISA试剂盒
>
一步法ELISA试剂盒
> 大鼠凝血因子Ⅺ(F11)ELISA Kit
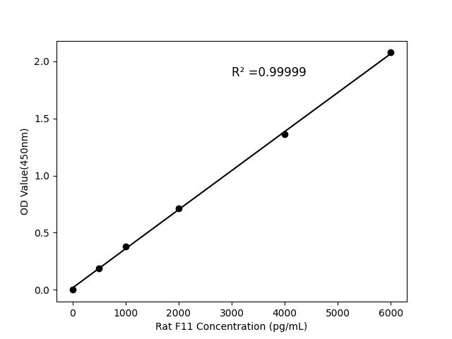
大鼠凝血因子Ⅺ(F11)ELISA Kit
Rat Coagulation Factor XI (F11) ELISA Kit
货号: JYM0254Ra
规格
价格
96T
980
48T
680
货期:现货
一键复制产品信息
复制成功!
联系我们
产品信息
说明书
COA
文献
FAQ
相关产品
产品名称:大鼠凝血因子Ⅺ(F11)ELISA Kit
别名:Coagulation Factor XI ,F11,凝血因子Ⅺ
反应性:大鼠
样本类型:血清/血浆/细胞培养上清及其它液体样本
检测范围:100pg/ml-7000pg/ml
灵敏度:47.4pg/ml
反应时间:1h
上样量:10ul
检测波长:450nm
检测方法:Sandwich ELISA
精密度:批内差<9%,批间差<15%
存储条件:2-8℃
大鼠凝血因子Ⅺ(F11)ELISA Kit说明书
大鼠凝血因子Ⅺ(F11)ELISA Kit质检报告
大鼠凝血因子Ⅺ(F11)ELISA Kit文献引用
人性别决定区Y框蛋白9(SOX-9)ELISA Kit
大鼠尿酸盐转运蛋白1(URAT1)ELISA Kit
大鼠钙/钙调蛋白依赖性蛋白激酶Ⅱβ(CAMK2b)ELISA Kit
绵羊白细胞21(IL-21)ELISA Kit
人亚甲基四氢叶酸脱氢酶2(MTHFD2)ELISA Kit
大鼠5-羟色胺受体3(5-HT3R)ELISA Kit
主营产品:
ELISA试剂盒
抗体
技术服务
电话:027-88411411 18986183467(微信同号)
公司邮箱:jiyinmei027@163.com
公司地址:湖北省武汉市江夏区光谷生物医药加速器-25栋4层
百度爱采购
版权所有 © 2003-2022 武汉基因美生物科技有限公司
鄂ICP备10204366号-3
销售支持
+86 18986183467
微信客服
QQ客服
公司Email
jiyinmei027@163.com